Проект двухэтажных вилл в Чалонге, Пхукет (005130)


341400 € 400121 $ 295652 £
Площадь
210м² - 378м²
Год сдачи
2027
Мебель
Частично
Комнат
4 спальни, 5 спален

Локация
  1. Локация
    Таиланд, Пхукет

Инфраструктура и комфорт
  1. Встроенная техника Встроенная техника
  2. С мебелью С мебелью
  3. Балкон/Терраса Балкон/Терраса
  4. Бассейн Бассейн
  5. Закрытая территория Закрытая территория
  6. 0% рассрочка 0% рассрочка

Описание

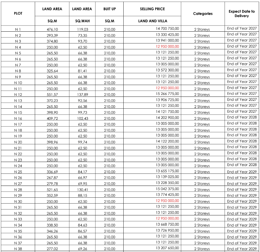
Проект двухэтажных вилл, расположенный в районе Чалонг, Пхукет. Это закрытое сообщество (gated community) состоит из 58 вилл, расположенных вокруг центрального озера. Строительство разделено на три фазы.

Для резидентов: Вас ждет спокойная и умиротворяющая обстановка, а также клубный дом с фитнес-центром и бассейном. Территория охраняемая, с контролируемым доступом.

Фазы 1 и 3: Гибкий подход Land and House

Первая и третья фазы работают по модели «Земля и Дом» (Land and House). Это дает вам отличную гибкость: вы можете выбрать конкретный земельный участок и построить на нем дом по индивидуальному проекту:

  • Параметры: 4 спальни, 3 ванные комнаты. Площадь застройки — 210м2.

  • Планировка (1-й этаж): Одна спальня, светлая открытая зона гостиной-столовой, современная кухня, терраса и собственная парковка.

  • Планировка (2-й этаж): Просторный мастер-люкс с гардеробной и собственной ванной, плюс две дополнительные спальни и общая ванная комната.

Фаза 2: Современные виллы с бассейном

Вторая фаза представляет современные двухэтажные виллы с частными бассейнами, где акцент сделан на простор и премиальную отделку:

  • Параметры: Площадь застройки 378 м2.

  • 4 спальни, каждая с отдельной ванной комнатой (ensuite).

  • Высокие потолки, просторная открытая планировка гостиной/столовой и полностью оборудованная европейская кухня.

  • Раздвижные двери ведут в ландшафтный сад, к собственному бассейну и на террасу.

  • В каждом доме предусмотрена парковка на 2 машины.

Опции и сроки:

  • Доступны возможности для кастомизации, например, улучшение бассейна или выбор участка с видом на озеро.

  • Строительство начинается сразу после первого платежа и занимает около 12 месяцев.


Обновлено 19.11.2025

+90 507 250 10 73
Сообщение отправлено
Расскажем о локации, преимуществах и условиях
Сообщение отправлено
Отзывы
reviews-hayatestate
Дмитрий
5
star star star star star
Выражаю огромную благодарность профессионалам своего дела Татьяне и Юлии. Приятно иметь дело с профессионалами.
hayatestate-review-06052024
Азат
5
star star star star star
Всем здравствуйте, позвольте выразить благодарность вашему менеджеру по продажам Юле Попович ...
hayatestate-review-30042024
Ирина
5
star star star star star
Сотрудничали с Юлией Попович. Рекомендую. Поможет, подскажет, сопроводит по сделке. Были разные нюансы, во всем оказала помощь. Очень довольна.
hayatestate-reviews
Валентина Павловская
5
star star star star star
Дуже приємні враження від співпраці з Андрієм і Аленою Леонтьевою.
hayatestate-reviews
Круглов Алексей
5
star star star star star
Я дуже задоволений роботою Наталі. Вона завжди на зв'язку, приємна дівчина, і в мене не виникало жодних запитань.
hayatestate-reviews
Вячеслав и Катерина Зиборовы
5
star star star star star
Мы очень довольны работой Ивана. У нас не возникало никаких не решенных вопросов, так как Иван всегда был на связи и оперативно решал все задачи.
hayatestate-reviews
Сергей Серик
5
star star star star star
Я хотел бы поделиться очень приятным опытом работы с менеджером Дмитрием
All
reviews
All
reviews
FAQ

Мечтаете иметь квартиру или дом у моря на средиземноморском побережье? А может, вас интересует недвижимость в Европе? Или вы всегда хотели открыть бизнес за границей и получать пассивный доход, проживая в Киеве? Какие бы цели вы не преследовали, мы всегда можем предложить лучшие варианты.

Hayat Estate – агентство, которое готово помочь вам приобрести недвижимость за рубежом согласно вашим требованиям и выделенному бюджету. Все что нужно – оставить заявку на портале и затем обсудить детали с менеджером.

Еще не так давно недвижимость за границей была недосягаемой мечтой для многих. Однако сейчас ее приобретение не кажется таким сложным. Профессиональный подбор и поиск квартиры/дома, помощь в оформлении сделки купли/продажи, оценка уровней риска для инвесторов: все это входит в перечень возможностей агентства Hayat Estate.

Специально для наших клиентов мы разработали портал, на котором разместили удобный каталог с подробным описанием предложений из самых разных уголков Европы и Азии. В частности, на сайте размещена актуальная недвижимость Турции, Великобритании, Франции, Германии, Грузии, Индонезии, ОАЭ, Черногории, Испании, Португалии, Польши, Северного Кипра, Таиланда.

Зарубежная недвижимость – это однозначно выгоднее, чем ипотека в Украине или покупка квартиры в Киеве. Средние цены на жилье в популярных туристических странах равны стоимости аналогичного предложения на родине. При этом за границей вы всегда можете превратить свое приобретение в выгодный бизнес.

  • Можно купить дом за границей у моря для постоянного проживания и наконец-то осуществить свою давнюю мечту.
  • Для украинцев квартира за границей – основание для получения ВНЖ и гражданства в последствии. Поэтому если вы заинтересованы переехать на ПМЖ, то покупка недвижимости может значительно упростить получение документов.
  • Инвестиция в недвижимость за рубежом – выгодное решение для украинцев, в частности. Согласно последним новостям, процент от вложений в строительство и покупка квартиры за границей приносит больший процент, чем депозит в банке.
  • Сдавать квартиру или дом за границей, особенно на первой береговой линии у моря, крайне выгодно в разгар туристического сезона. В остальное время вы можете проживать там.
  • Цены на коммерческую и жилую недвижимость с каждым годом только растут. Всегда можно продать квартиру или дом за рубежом и выручить довольно крупную разницу от продажи.

Больше преимуществ и особенностей от покупки квартиры и любой другой зарубежной недвижимости в целом можно узнать на индивидуальной консультации с менеджером Hayat Estate.

Скачайте
каталог TОП 10
новостроек Алании
на осень 2025 (квартиры
от 62 000 € - 460 000 € и получите доступ к предложениям с прайсами от застройщиков
(без комиссии)
image image
up to 12% on rentals
up to 15-40% on resale
Осень
2025
62 000 € - 460 000 €

    Нажимая на кнопку, Вы соглашаетесь с обработкой ваших персональных данных согласно Политике конфиденциальности компании
    Сообщение успешно отправлено
    Зміни збережено.